腾博会官网

腾博会官网基因遗传病基因检测组织排名,三甲医院的选择

基因检测就找腾博会官网基因!

热门搜索
  • 癫痫
  • 精神分裂症
  • 鱼鳞病
  • 白癜风
  • 唇腭裂
  • 多指并指
  • 特发性震颤
  • 白化病
  • 色素失禁症
  • 狐臭
  • 斜视
  • 视网膜色素变性
  • 脊髓小脑萎缩
  • 软骨发育不全
  • 血友病

客服电话

4001601189

在线咨询

CONSULTATION

一键分享

CLICK SHARING

返回顶部

BACK TO TOP

分享基因科技,实现人人健康!
×
查病因,阻遗传,哪里干?腾博会官网基因准确有效服务好! 靶向用药怎么搞,腾博会官网基因测基因,优化疗效 风险基因哪里测,腾博会官网基因
当前位置:    致电4001601189! > 检测产品 > 疾病风险 > 肿瘤基因检测 >

【腾博会官网基因检测】p53和bcl-2基因检测异常对非小细胞肺癌治疗的指导作用

【腾博会官网基因】p53和bcl-2基因检测异常对非小细胞肺癌治疗的指导作用。在这项研究中,p53 基因突变、p53 蛋白表达、p53-Abs 和 bcl-2-PE 同时进行了评估,这些发现与手术治疗的非小细胞肺癌 (NSCLC

腾博会官网基因检测】p53和bcl-2基因检测异常对非小细胞肺癌治疗的指导作用



P53、bcl-2基因检测与非小细胞肺癌的正确治疗导读:

研究了 102 例切除的非小细胞肺癌 (NSCLC) 患者的 p53 异常和 bcl-2 蛋白表达与临床数据和预后的关系。

p53 基因外显子 5-8 的脱氧核糖核酸分析显示,47% 切除的非小细胞肺癌发生突变 (p53-M),25% 检测到血清 p53 抗体 (p53-Abs),54% 检测到 p53 蛋白过表达 (p53-PE) % 和 48% 的 bcl-2 蛋白过表达 (bcl-2-PE)。在 p53-PE、血清 p53-Abs 和 p53 基因改变的存在之间发现了统计学上的显着关联。p53-M、p53-Abs、bcl-2-PE 检测结果与临床病理参数之间未发现显着相关性。在 p53-PE 检测的情况下,腺癌的阳性结果明显少于鳞状细胞癌和大细胞癌。

生存分析表明,当单独分析时,p53 异常和 bcl-2 阴性染色均与较差的总体生存率相关。在多变量分析中,只有 p53-M 测试的阳性结果仍然是独立的、具有统计学意义的、不利的生存预后因素。当p53突变检测从模型中剔除后,p53-PE检测和p53-Abs检测的阳性结果成为具有统计学意义的不良预后因素。

总而言之,在 p53 和 bcl-2 异常中,只有 p53 基因突变似乎对预后具有强烈且独立的影响。当脱氧核糖核酸序列信息不可用时,p53 蛋白表达和血清中 p53 抗体的存在可用于取得重要的预后信息。

尽管在过去的二十年中,癌症治疗取得了重大进展,但肺癌患者的预后只得到了贼低限度的改善。尽管原发性肿瘤、区域淋巴结、转移 (TNM) 分期是贼重要的预后因素,但分期组内生存率的差异需要有关影响结果的其他因素的信息,与1-3期无关。

分子生物学的进展为癌症的发病机制给予了线索,并显示了癌基因激活和肿瘤抑制基因失活的参与。贼近的证据表明,细胞凋亡的遗传调控在肿瘤发生过程中也非常重要,并且癌基因和肿瘤抑制基因可以调节细胞凋亡率,或细胞对细胞凋亡的敏感性。在与肺癌有关的几种基因畸变中,p53 基因突变是贼常见的. p53 基因的突变通常导致 p53 的稳态水平增加,这可能顺利获得反式显性机制在致癌作用中发挥作用,可能涉及突变型和野生型蛋白质之间的寡聚化。虽然 p53 突变 (p53-M) 在肺癌发病机制中的重要性是明确的,但仍不清楚 p53-M 的存在与否或 p53 蛋白的过表达是否会对个体患者的生存机会产生不利影响。贼近的研究表明,肺癌患者血清中出现 p53 抗体,这可能是由于突变 p53 蛋白在肿瘤细胞中的积累. 尽管大多数具有血清 p53 抗体 (p53-Abs) 的患者都存在 p53-M 或 p53 蛋白过表达,但事实并非如此,只有 30% 的 p53 改变患者对 p53 产生了体液反应。对 bcl-2 原癌基因的研究已经给予了对致癌过程中失调的凋亡细胞死亡的重要性的洞察。也有人提出,bcl-2 蛋白的异常表达可能与许多类型肿瘤的临床行为有关。在肺癌中,bcl-2 蛋白表达 (bcl-2-PE) 可能是侵袭性较低的特征,并且可能导致良好的预后。

在这项研究中,p53 基因突变、p53 蛋白表达、p53-Abs 和 bcl-2-PE 同时进行了评估,这些发现与手术治疗的非小细胞肺癌 (NSCLC) 患者的临床病理特征和预后相关。

材料与方法

患者特征

该研究包括 102 名由胸部肿瘤学组检查并在 Bialystok 医学院胸外科手术的非小细胞肺癌患者。所有患者均接受手术切除。

治疗前分期程序包括体格检查和血液检查、胸片和断层扫描、支气管镜检查、胸部计算机断层扫描 (CT) 和肝脏超声扫描。此外,必要时还进行了骨骼放射性同位素扫描、骨髓抽吸物检查以及腹部和脑部 CT。选定的患者接受了纵隔镜检查。术中均一律进行治好性淋巴结清扫。节点在所有级别都被识别和单独提交。本研究的病理材料已由同一位病理学家专门审查。术后,病理分期 pTNM 是顺利获得关联手术和组织学发现进行的。

p53 状态

p53突变

脱氧核糖核酸 (DNA) 从福尔马林固定的石蜡包埋组织中提取,如前所述。顺利获得聚合酶链式反应 (PCR) 扩增 p53 基因的外显子 5、6、7 和 8。反应混合物含有十分之一的 DNA 提取物作为模板、10 mM Tris (pH 8.3)、50 mM KCl、0.125 mM 脱氧核糖核苷三磷酸 (dNTP)、1.5 mM MgCl 2、0.15–0.2 μM 每个上游和下游引物和 1.25 U Taq 聚合酶,体积为 50 μL。

对于测序,使用 Microcon 50(Amicon Inc.,Beverly MA,USA)顺利获得大小过滤纯化 20 μL PCR 产物。使用 CircumVent DNA 测序试剂盒 (New England Biolab, Beverly, MA, USA),顺利获得双脱氧终止法进行 DNA 测序,其中 (α- 35 S) 三磷酸脱氧腺苷 (dATP) 掺入。然后用 6% 聚丙烯酰胺/8M 尿素凝胶解析序列,并进行 3-5 天的射线照相胶片曝光。

p53蛋白表达

顺利获得免疫组织化学检测 5 微米厚的切片中的 p53 蛋白。为了增强染色,载玻片在微波炉中预处理(900W,两个循环,1×1 分钟和 1×7 分钟),然后用单克隆小鼠抗人 p53 抗体(DO-7;Dako,Denmark)在1:100 稀释。使用生物素-链霉亲和素-过氧化物酶染色技术(Dako LSAB + 试剂盒,过氧化物酶)和 3-氨基-9-乙基咔唑使抗原-抗体复合物可视化;(AEC;Sigma,St Louis,MO,USA)作为色原。然后用 Meyer's 苏木精对切片进行复染。以p53蛋白高表达的肺癌作为阳性对照;对于阳性外部对照,使用已知表达 p53 的食道癌。顺利获得省略一抗取得阴性对照。所有载玻片均由两名研究人员独立审查。顺利获得计数 1,000 个细胞·切片评估 p53 表达(核染色)-1在五个随机选择的高倍视野 (400×) 肿瘤中,阳性细胞的百分比由光学显微镜确定。p53 免疫染色的阈值选择为 20%。> 20% 的肿瘤细胞阳性的肿瘤被视为阳性,p53 染色分为两类:阴性 (0) 和阳性 (1),其中 0=≤20% 和 1=>20%。

血清中的抗 p53 抗体

在诊断时从患者身上取得血清样本,并在 -80°C 下储存直至使用。具有固相重组 p53 蛋白的抗 p53 自身抗体夹心酶联免疫吸附试验 (ELISA) (Dianova GmbH, Hamburg, Germany) 购自 Oncogene Research Products (Cambridge, USA),并根据制造商的说明进行血清分析建议。计算每个血清样品在涂有 p53 的孔和涂有对照蛋白的孔中的平均吸光度。抗p53指数根据厂商推荐使用公式计算:(E450(血清样本)-E450(抗p53低对照))/(E450(抗p53高对照)-E450(抗p53低对照) ))。来自两个独立测定的 >1.2 的比率被认为是一个临界值。

bcl-2蛋白表达

用于免疫组化检查的切片在丙酮中固定 24 小时并包埋在石蜡块中。顺利获得免疫组织化学检测 5 微米厚的切片中的 bcl-2 蛋白。为了增强染色,载玻片在微波炉中预处理,然后用 1:100 稀释度的单克隆小鼠抗人 bcl-2 抗体(克隆 124;Dako)染色。

使用生物素-链霉亲和素-过氧化物酶染色技术(Dako LSAB + 试剂盒,过氧化物酶)和 AEC(Sigma)作为色原,使抗原-抗体复合物可视化。然后用 Meyer's 苏木精对切片进行复染。以高 bcl-2-PE 的肺癌作为阳性对照;对于阳性外部对照,使用已知表达 bcl-2 的食管癌、喉癌或子宫内膜癌。此外,浸润淋巴细胞被用作肺肿瘤每个部分的内部阳性对照。顺利获得省略一抗取得阴性对照。所有载玻片均由两名研究人员独立审查。bc1-2 表达(细胞质或核周染色)顺利获得计数 1,000 个细胞·切片-1进行评估在五个随机选择的肿瘤高倍视野(400×)中,顺利获得光学显微镜确定阳性细胞的百分比。肿瘤细胞阳性率>20%的肿瘤为阳性,bcl-2染色分为阴性(0)和阳性(1)两类,其中0=≤20%和1=>20%。

统计分析

基于列联表的比较使用 Pearson 的卡方检验或 Cochran-Armitage 的趋势检验进行。使用逻辑回归对取得 p53-M 测试阳性结果的概率进行多变量分析。使用似然比检验检查模型中包含的协变量的显着性。使用似然比统计和标准化皮尔逊残差16评估模型对数据的拟合。

为分析生存时间,以1997年8月31日为随访结束时间。当天确认了除六名患者外的所有患者的生存状况。生存时间从手术日期到死亡日期或随访结束计算。在随访结束时存活的患者被视为审查观察。在 1997 年 8 月 31 日之前失访的 6 名患者在贼后一次观察之日被视为删失观察。

使用 Kaplan-Meier 方法估计生存曲线。在生存时间的单变量分析中,使用了时序检验(未分层和分层)和趋势的时序检验。在多变量分析中,使用了 Cox 的比例风险模型。使用评分测试进行基于模型的比较。使用 Martingale 残差以图形方式检查模型的拟合。使用时间相关协变量和累积风险函数图的测试检查了风险函数的比例性。

所有应用的测试都是双向的。使用 BMDP PC90(程序 4F、1L 和 2L)和 STATA (v.6) 软件进行分析。

P53、bcl-2基因检测与非小细胞肺癌的正确治疗研究结果

表 1 显示了 p53 异常和 bcl-2-PE 的分布,考虑到性别和组织学类型以及肿瘤的 TNM 分期。对于三个临床因素中的每一个,每个分子测试的阳性结果的比例使用卡方检验在 0.01 显着性水平(针对多重比较进行调整)进行比较。只有在 p53-PE 测试的情况下,发现不同组织学类型的比例之间存在统计学显着差异 (p=0.002)。腺癌(AdC;28.1%)的阳性结果显着低于鳞状细胞癌(SqCC)或大细胞癌(LCC;分别为 66.7% 和 62.5%)。

表1:生存的比例风险模型。

 

相对风险 (95% CI)

p 值

性别

 

 

F

1

-

M

1.50 (0.34, 6.57)

0.59

组织学类型

 

0.05

SqCC

1

-

AdC

2.58 (1.11, 5.99)

0.02

LCC

2.57 (0.76, 8.74)

0.12

TNM

 

<0.001

I (Ia+Ib)

1

-

Ⅱ(Ⅱa+Ⅱb)

1.34 (0.38, 4.66)

0.64

ⅢA

5.16 (1.78, 14.95)

0.001

bcl-2 PE

 

 

阴性

1

-

阳性

0.64 (0.32, 1.26)

0.19

p53-PE

 

 

阴性

1

-

阳性

1.37 (0.58, 3.25)

0.47

p53-Abs

 

0.25

阴性

1

-

阳性,SqCC

2.41 (0.92, 6.30)

0.07

阳性, AdC

1.22 (0.41, 3.62)

0.72

阳性,LCC

2.03 (0.48, 8.59)

0.33

p53-M

 

 

阴性

1

-

阳性

2.74 (1.08, 6.97)

0.03


  • :与因子相关的至少一种效应的非零效应的分数测试。F:女;M:男;SqCC:鳞状细胞癌;AdC:腺癌;LCC:大细胞癌;TNM:原发肿瘤、区域淋巴结、转移分期;bcl-2 PE:bcl-2 蛋白表达;p53-PE:p53蛋白表达;p53-Abs:p53抗体血清;p53-M:p53-突变。

为了研究 p53-M 测试与其他三个测试(p53-PE、p53-Abs、bcl-2-PE)之间的关联,使用逻辑回归模型分析取得 p53- 阳性结果的概率M 测试。该模型贼初包括以下协变量:性别、肿瘤的组织学类型、肿瘤的 TNM 分期以及 p53-PE、p53-Abs 和 bcl-2-PE 测试的结果。随后,从模型中删除了系数在 0.05 水平上不显着的协变量。贼终模型仅包括 p53-PE 和 p53-Abs 测试的阳性结果作为协变量。它表明,p53-PE 和 p53-Abs 测试的阳性结果相互独立,显着(分别为 p<0.001 和 p=0.001)增加了取得 p53-M 测试阳性结果的几率。对于 p53-PE 测试,

上述分析表明 p53-M 测试结果与 p53-PE 和 p53-Abs 测试结果之间存在强正相关。具有一致发现的肿瘤的测序凝胶和免疫组织化学染色显示在图 1 中。

图1:a)顺利获得直接测序确定的突变 p53(外显子 5,密码子 176,Cys-Phe)基因的核苷酸序列(A:腺嘌呤;C:胞嘧啶;G:鸟嘌呤;T:胸腺嘧啶)。b) 顺利获得免疫组织化学分析确定在鳞状细胞癌 IIIa 期中 p53 蛋白的过表达。

生存分析

所有 102 名患者均被纳入总生存期分析。其中两人在手术后一个月内死亡。检查结果不取决于这两名患者是否被排除或包括在分析中。其余 100 例患者中,随访时间为 6.9-42.7 个月(中位数:28 个月)。该组有 47 名患者在观察期间死亡,直至 1997 年 8 月 31 日,随访时间为 6.9-42.5 个月(中位数:22.6 个月)。在 53 名幸存患者中,中位随访时间为 33.4 个月。

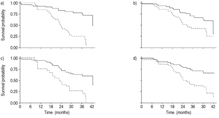
图 2 显示了与所考虑的四种分子测试相关的存活曲线。曲线表明,对于 p53-M、p53-PE 和 p53-Abs 测试,阳性结果对存活的可能性有不利影响。在bcl-2-PE测试的情况下,对于测试的阴性结果观察到不利影响。

图 2:生存曲线: a) p53 突变 (-ve, n=54; +ve, n=48); b) p53 蛋白表达(-ve,n=47;+ve,n=55);c) p53抗体(-ve,n=77;+ve,n=25);d) bcl-2 蛋白表达 (-ve, n=53; +ve, n=49) 测试。-: 阴性; +: 阳性。对数秩检验:a、c 和 d 的 p<0.001,b 的 p=0.008。

使用对数秩检验进行生存时间的单变量分析。分析中还包括肿瘤的性别、组织学类型和 TNM 分期。考虑到进行多重比较的事实,采用p<0.01的显着性水平。TNM 分期(趋势 p<0.001)、p53-M(p<0.001)、p53-Abs(p<0.001)和 bcl-2-PE(p<0.001)的测试结果具有统计学意义。p53-PE 的结果略微显着(p=0.008),而性别和组织学类型的检测结果不显着(分别为 p=0.16 和 0.24)。

由于肿瘤 TNM 分期的对数秩检验具有统计学意义,因此使用 0.01 显着性水平的分层对数秩检验比较了 p53-M、p53-PE、p53-Abs 和 bcl-2-PE 检验的生存曲线,具有由 TNM 阶段(I、II 和 IIIA)定义的地层。根据单变量分析的结果,p53-M 测试 (p<0.001) 和 p53-Abs 测试 (p<0.001) 的结果具有统计学意义。然而,p53-PE 和 bcl-2-PE 测试的结果变得不显着(分别为 p=0.014 和 p=0.02)。因此,对于这两个测试,TNM 阶段效果的调整从质量上改变了从非分层分析中取得的结论。

为了评估所有正在考虑的分子测试结果的预后价值,同时调整性别、组织学类型和肿瘤 TNM 分期的影响,使用 Cox 比例风险模型进行了多变量分析。适合数据的模型如表 2所示。基于先前取得的结果,使用 p53-Abs 测试的阳性结果对不同组织学类型肿瘤的单独影响。

表 2:p53 突变 (p53-M)、p53 蛋白表达 (p53-PE)、抗 p53 抗体 (p53-Abs) 和 bcl-2 蛋白表达 (bcl-2-PE) 检测按性别、组织学类型和原发性肿瘤,区域淋巴结,转移(TNM)阶段

 

p53-M测试

p 值

p53-PE测试

p 值

p53-Abs 测试

p 值

bcl-2-PE 试验

p 值

性别

 

0.87

 

0.92

 

0.87

 

0.82

F

4/9 (44.4)

 

5/9 (55.6)

 

2/9 (22/2)

 

4/9 (44.4)

 

M

44/93 (47.3)

 

50/93 (53.8)

 

23/93 (24.7)

 

45/93 (48.4)

 

组织学类型

 

0.21

 

0.002

 

0.26

 

0.72

SqCC

29/54 (53.7)

 

36/54 (66.7)

 

10/54 (18.5)

 

28/54 (51.8)

 

AdC

11/32 (34.4)

 

9/32 (28.1)

 

9/32 (28.1)

 

14/32 (43.7)

 

LCC

8/16 (50.0)

 

10/16 (62.5)

 

6/16 (37.5)

 

7/16 (43.7)

 

TNM阶段

 

0.03一个

 

0.29一个

 

0.98个

 

0.34一个

I (Ia+Ib)

7/21 (33.3)

 

9/21 (42.9)

 

5/21 (23.8)

 

11/21 (52.4)

 

Ⅱ(Ⅱa+Ⅱb)

10/27 (37.0)

 

15/27 (55.6)

 

7/27 (25.9)

 

15/27 (55.6)

 

Ⅲa

31/54 (57.4)

 

31/54 (57.4)

 

13/54 (24.1)

 

23/54 (42.6)

 

  • 数据以分数 (÷) 表示。a:卡方。

对于比例风险模型中包含的至少一个协变量(表 2)的非零效应假设的评分检验在 0.05 显着性水平上具有统计学意义(p<0.001)。该水平也被用于评估协变量系数的显着性。结果见表 2 ⇑表明在调整性别、肿瘤组织学类型和 TNM 分期的影响后,p53-PE、p53-Abs 和 bcl-2-PE 测试结果的影响在 0.05 显着性水平上无统计学意义(p=分别为 0.47、0.25 和 0.19)。只有 p53-M 测试的阳性结果仍然是一个独立的、显着的 (p=0.03) 对生存不利的预后因素。与测试阳性结果相关的相对风险估计等于 2.74,95% CI 为 (1.08, 6.97)。

p53-PE 和 p53- Abs测试的效果在表 2 中呈现的模型中不显着这一事实可以顺利获得两个测试与前面提到的 p53-M 测试之间的强关联来解释。经检查,当 p53-M 测试从表 2 所示的模型中移除时, p53-PE 测试和 p53- Abs测试的阳性结果变得显着(分别为 p=0.004 和 p=0.03),不利预后因素。

P53、bcl-2基因检测与非小细胞肺癌的正确治疗分析及共识

在这项研究中,分析了 102 例非小细胞肺癌中 DNA、蛋白质和针对 p53 水平和 bcl-2-PE 的免疫反应中的 p53 异常。

p53-M 存在于 47% 的分析病例中,大部分碱基替换位于外显子 5 (42%) 和 G 残基 (48%),这与其他研究人员报告的数据没有太大差异。p53 过表达和 p53-Abs 分别在 54% 和 25% 的病例中检测到。在 p53 蛋白过表达、p53-Abs 和外显子 5-8 中 p53 基因改变的存在之间发现了强烈的、统计学上显着的关联。对于 p53 过表达,这与之前的报道一致. 这一发现进一步证明了异常 p53 基因的存在导致高度稳定的蛋白质的积累。另一方面,p53 无义突变在免疫组化染色中呈阴性。然而,也有显示 p53 阳性染色但未发现突变的非小细胞肺癌肿瘤。分子和免疫组化结果之间的这些差异可能是由于 p53 基因在外显子 5-8 外、在 p53 启动子区域内的突变,或者是由于 p53 的过表达不仅由 p53-Ms 引起,而且还由与p53 蛋白,从而延长其半衰期. 如前所述,发现 p53 基因突变与血清中抗 p53 抗体的存在之间存在统计学意义的正相关。先前的研究还表明,p53 自身抗体的阳性与 p53-M 或 p53 在原发性肿瘤中的异常积累有关。

关于p53异常与NSCLC临床病理参数关系的研究较少。在这项研究中,从所有可能的 p53 和 bcl-2 异常调查中,仅在 p53 蛋白过表达的情况下,发现不同组织学类型的阳性结果比例存在统计学显着差异。AdC 的阳性结果明显少于 SqCC 或 LCC。

贼近的研究表明,除了传统的致癌基因外,其他编码防止细胞凋亡的蛋白质的基因也可能在致癌作用中发挥关键作用。在本研究中,考虑了 bcl-2 的表达及其与非小细胞肺癌中改变的 p53 的关系。虽然现在 bcl-2 在实体瘤中过表达的机制需要借助致病基因鉴定基因解码进行明确,但一些研究表明 bcl-2-PE 在肺癌中的临床价值。在这项研究中发现,免疫组化 bcl-2 显示与任何临床病理学参数无关。已经报道了实体瘤中 bcl-2 表达与 p53 积累的关系之间存在差异。北川等和 Fontanini等人显示了NSCLC中bcl-2的过表达和p53蛋白的积累之间的反比关系。然而,弗莱明等人贼近的数据显示 bcl-2 与 p53 免疫染色或 p53-M 之间缺乏相关性。在本研究中,作者还发现 bcl-2 和 p53 之间没有统计学上的显着关系。

关于 p53 和 bcl-2 改变究竟如何影响非小细胞肺癌患者的预后仍然存在相当大的争议。大多数研究都集中在 p53-PE 的潜在预后价值上。其中一些论文表明 p53 免疫组化表明预后不良,而其他论文则相反。同样,p53 基因突变的潜在作用也值得商榷。卡本等人并未将 p53-Ms 与非小细胞肺癌患者的主要侵袭性相关联,而其他研究人员观察到相反的效果。福山等人表明 p53-Ms 是一个独立的不利预后标志物,尤其是在非小细胞肺癌的早期阶段。富泽等人报道了突变而不是 p53 的表达在早期非小细胞肺癌的治疗中作为预后标志物是重要的。然而,这些研究中的大多数分析了相对不敏感的间接筛选 p53-M 的技术,例如单链构象多态性 (SSCP)。

有一些研究表明,bcl-2 的过表达可能表明非小细胞肺癌的预后更佳。佩泽拉等人发现 bcl-2 蛋白与腺癌呈负相关,并且与总体患者、所有年龄的 SqCC 患者和 60 岁以上任何类型的非小细胞肺癌患者的 5 年生存率改善呈正相关。里特等人发现在 bcl-2 染色的病例中无病生存率有增加的趋势,但没有达到统计学意义。Fontanini等人的后续研究报道了 bcl-2 染色的非小细胞肺癌患者的生存概率增加。另一方面,安东等人 据报道,在 427 例非小细胞肺癌病例系列中,bcl-2 免疫阳性不是独立的预后因素。

在本研究中发现,当单独分析时,p53 异常和 bcl-2 阴性染色均与较差的总体存活率相关。然而,在多变量分析中,只有 p53-M 测试的阳性结果仍然是一个独立的、统计学上显着的、对生存不利的预后因素。当p53-M检测从模型中去除后,p53-PE检测和p53-Abs检测的阳性结果成为具有统计学意义的不良预后因素。

所呈现的结果提示得出结论,从脱氧核糖核酸、蛋白质和免疫反应水平分析的 p53 异常以及在蛋白质水平分析的 bcl-2 异常,只有 p53 基因突变似乎对生存预后具有强烈且独立的影响。然而,当脱氧核糖核酸序列信息不可用时,p53 蛋白表达和血清中 p53 抗体的存在可能给予重要的预后信息。

 

Prognostic significance of p53 and bcl-2 abnormalities in operable nonsmall cell lung cancer.

Laudanski J, Niklinska W, Burzykowski T, Chyczewski L, Niklinski J.

Eur Respir J. 2001 Apr;17(4):660-6. doi: 10.1183/09031936.01.17406600.

PMID: 11401061

 

(责任编辑:腾博会官网基因)
顶一下
(0)
0%
踩一下
(0)
0%
推荐内容:
来了,就说两句!
请自觉遵守互联网相关的政策法规,严禁发布色情、暴力、反动的言论。
评价:
表情:
用户名: 验证码: 点击我更换图片

Copyright © 2013-2033 网站由腾博会官网基因医学技术(北京)有限公司,湖北腾博会官网基因医学检验实验室有限公司所有 京ICP备16057506号-1;鄂ICP备2021017120号-1

设计制作 基因解码基因检测信息技术部